Power and other receiver power specifications. If the power supplies have limited power, then the maximum permissible power supply of the receiver is set.
Receiver power is a fundamental parameter in radio engineering, telecommunications, and data transmission systems. It determines the device's ability to perceive and process the electromagnetic signal coming from the transmitter. This parameter determines the reliability of communication, the quality of information transmission, and immunity to interference.
What is receiver power?
Receiver power is the amount of energy received by the antenna and transmitted to the receiver input per unit of time. It is measured in watts (W) or, more commonly, in decibels relative to milliwatts (dBm).
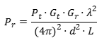
Formally, the receiver input power can be expressed as:

where:
𝑃𝑟 - is the receiver input power,
𝑃𝑡 - is the transmitter power,
𝐺𝑡 , 𝐺𝑟 are the transmitter and receiver antenna gains,
𝜆 - is the signal wavelength,
𝑑 - is the distance between the antennas,
𝐿 is the propagation loss.
Why is receiver power important?
Sensitivity: The higher the receiver's sensitivity, the lower the power it can detect. This is especially important in satellite communications, radar, and mobile networks.
Signal Quality: Insufficient power results in a reduced signal-to-noise ratio (SNR), which impairs decoding.
Communication Range: A receiver with high sensitivity can operate over long distances from the transmitter.
Power Efficiency: In power-constrained systems (e.g., IoT devices), it is important to minimize the power required for reliable communication.
Practical Aspects
Minimum Allowable Power: Typically specified in the receiver's specifications. For example, -90 dBm means the device can receive a signal with a power of 1 nW.
Amplifiers: Low-Noise Amplifiers (LNAs) are used to compensate for weak signals.
Filtering: The receiver must effectively filter out interference to avoid losing the desired signal.
Environmental Adaptation: In urban or indoor environments, signal strength can be significantly reduced due to reflections and absorption.
Real-World Examples
Wi-Fi Routers: Receiver power affects connection stability in different rooms.
GPS Navigators: They work with signals as low as -130 dBm due to their high sensitivity.
Mobile Phones: Receiver power determines connection quality in areas with poor coverage.
Conclusion
Receiver power is not just a technical parameter; it is the foundation of reliable and efficient communications. Understanding its role allows engineers to create more robust, sensitive, and energy-efficient systems. In the era of wireless technologies, proper receiver power management is becoming increasingly important.
Comments
To leave a comment
Devices for the reception and processing of radio signals, Transmission, reception and processing of signals
Terms: Devices for the reception and processing of radio signals, Transmission, reception and processing of signals